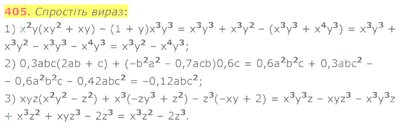
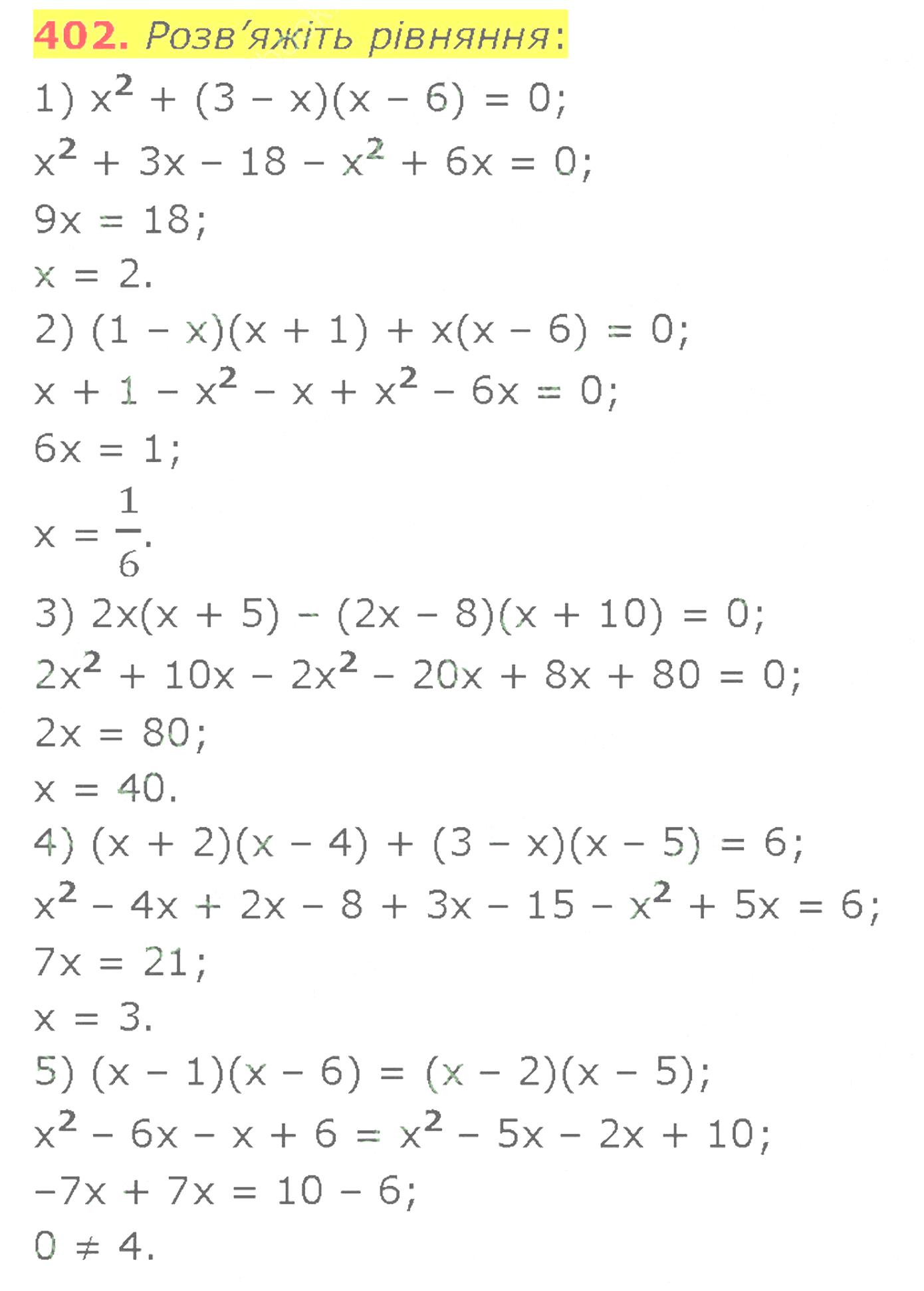
ГДЗ Алгебра 7 клас. Підручник [Тарасенкова Н.А., Акуленко І.А.] 2024

icon27.11.2025, icon7 Клас / Алгебра, icon261, icon0














iconГДЗ Підручник Алгебра Оріон НУШ Тарасенкова Акуленко 2024 7 клас
Якщо помітили в тексті помилку, виділіть її та натисніть Ctrl + Enter
Схожі публікації
У даній публікації ще немає коментарів. Хочете почати обговорення?

Реклама
Як Вам оновлений дизайн сайту?
Ми в соціальних мережах
Хмаринка тегів