Схожі публікації

ГДЗ Англійська мова 9 клас. Робочий зошит [Косован О., Вітушинська Н.] 2020 (Карпюк)
У даному матеріалі Ви можете ознайомитись з готовим домашнім завданням до робочого зошита для закладів загальної середньої освіти з англійської мови 9 клас. Видавництво "Підручники і посібники", Тернополь. Автори робочого зошита: Косован О., Вітушинська Н. Рік видання 2020. До підручника англійська...
ГДЗ ДПА 9 клас. Математика. Відповіді до збірника завдань для ДПА [Істер О.С., Єргіна О.В.] 2022
У даному матеріалі Ви можете ознайомитись з готовим домашнім завданням до збірника завдань для підготовки та проведення ДПА з математики, 9 клас з предмету "Математика" 9 клас. Видавництво "Генеза", Київ. Автори збірника завдань: Істер О.С., Єргіна О.В. Рік видання 2022. Матеріали збірника містять...
ГДЗ ДПА 9 клас. Математика [Істер О.С., Єргіна О.В.] 2022
У даному матеріалі Ви можете ознайомитись з готовим домашнім завданням до збірника завдань для підсумкових контрольних робіт з математики, 9 клас з предмету "Математика" 9 клас. Видавництво "Генеза", Київ. Автори збірника завдань: Істер О.С., Єргіна О.В. Рік видання 2022. Матеріали збірника містять...
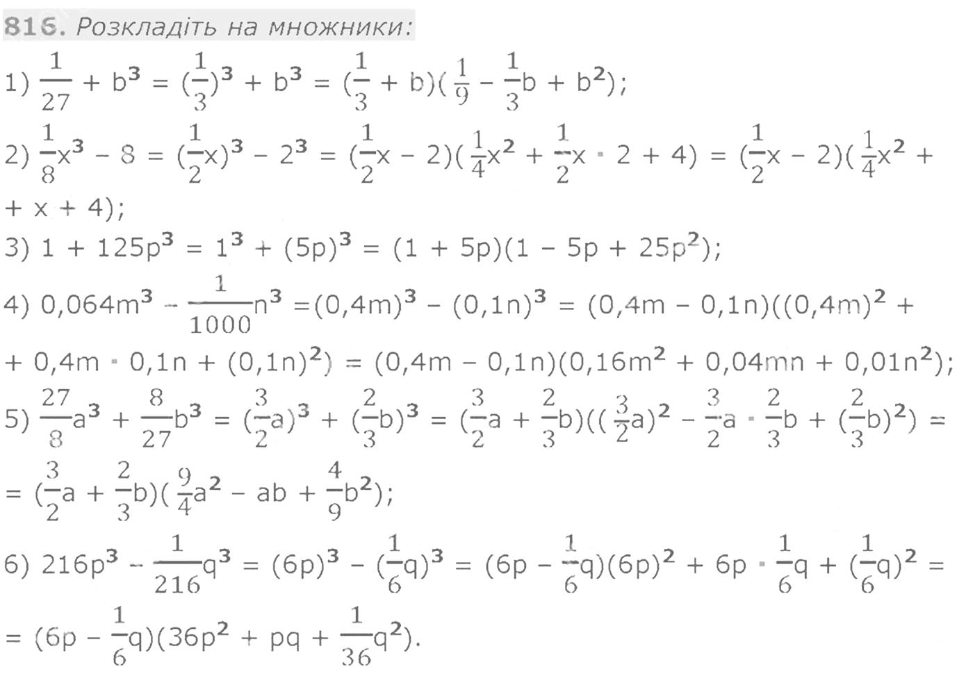
ГДЗ ДПА 9 клас. Математика [Істер О.С., Єргіна О.В.] 2020
У даному матеріалі Ви можете ознайомитись з готовим домашнім завданням до збірника завдань для підсумкових контрольних робіт з математики, 9 клас з предмету "Математика" 9 клас. Видавництво "Генеза", Київ. Автори збірника завдань: Істер О.С., Єргіна О.В. Рік видання 2020. Матеріали збірника містять...
ГДЗ ДПА 9 клас. Математика [Істер О.С., Єргіна О.В.] 2019
У даному матеріалі Ви можете ознайомитись з готовим домашнім завданням до державної підсумкової атестації з математики 9 клас. Видавництво "Підручники і посібники", Тернопіль. Автори збірника завдань: Істер О.С., Єргіна О.В. Рік видання 2019. Зміст тестових завдань відповідає оновленій навчальній...У даній публікації ще немає коментарів. Хочете почати обговорення?
Навігація
Реклама
Як Вам оновлений дизайн сайту?
Найпопулярніше







![ГДЗ Природознавство 5 клас. Підручник [Ярошенко О.Г., Бойко В.М.] 2018 ГДЗ Природознавство 5 клас. Підручник [Ярошенко О.Г., Бойко В.М.] 2018](/uploads/posts/2019-04/1555779316_5_p_y_u2018.jpg)
![ГДЗ Основи правознавства 9 клас. Підручник [Наровлянський О. Д.] 2017 ГДЗ Основи правознавства 9 клас. Підручник [Наровлянський О. Д.] 2017](/uploads/posts/2019-02/1550928122_9k_p_n_2017.jpg)
![ГДЗ Українська мова 8 клас. Підручник [Глазова О.П.] 2021 ГДЗ Українська мова 8 клас. Підручник [Глазова О.П.] 2021](/uploads/posts/2021-10/1633720388_8k_y_g_2021.jpg)
![ГДЗ Вступ до історії 5 клас. Підручник [Гісем О.В.] 2018 ГДЗ Вступ до історії 5 клас. Підручник [Гісем О.В.] 2018](/uploads/posts/2019-07/1564163269_5k_i_h_2018.jpg)