Схожі публікації

ГДЗ Математика 6 клас. Зошит для самостійних та контрольних робіт [Тарасенкова Н.А., Богатирьова І.М.] 2023
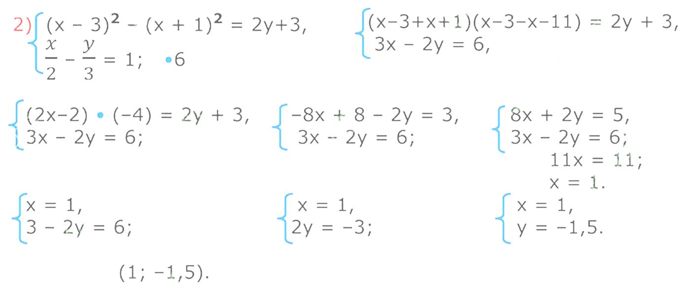
У даному матеріалі Ви можете ознайомитись з готовим домашнім завданням до зошита для самостійних та контрольних робіт з математики 6 клас. Видавництво "Оріон", Київ. Автори зошита для самостійних та контрольних робіт: Тарасенкова Н., Богатирьова І., Коломієць О., Сердюк З. Рік видання 2023. Нова...
ГДЗ Математика 4 клас. Підручник частина 1 [Логачевська С., Логачевська Т.] 2021
У даному матеріалі Ви можете ознайомитись з готовим домашнім завданням до підручника для закладів загальної початкової освіти з предмету "Математика" 4 клас частина 1. Видавництво "Літера ЛТД". Автори підручника: Логачевська С., Логачевська Т. Рік видання 2021. Нова програма 2021 року. (Відповіді /...
ГДЗ Математика 4 класу. Підручник частина 2 [Листопад Н.П.] 2021
У даному матеріалі Ви можете ознайомитись з готовим домашнім завданням до підручника для закладів загальної початкової освіти з предмету "Математика" 4 клас частина 2. Видавництво "Оріон" Київ. Автор підручника: Листопад Н.П. Рік видання 2021. Нова програма 2021 року. (Відповіді / ГДЗ / Ответы /...
ГДЗ Англійська мова 9 клас. Робочий зошит [Косован О., Вітушинська Н.] 2020 (Карпюк)
У даному матеріалі Ви можете ознайомитись з готовим домашнім завданням до робочого зошита для закладів загальної середньої освіти з англійської мови 9 клас. Видавництво "Підручники і посібники", Тернополь. Автори робочого зошита: Косован О., Вітушинська Н. Рік видання 2020. До підручника англійська...
ГДЗ Англійська мова 9 клас. Робочий зошит [Косован О., Вітушинська Н.] 2020 (Несвіт)
У даному матеріалі Ви можете ознайомитись з готовим домашнім завданням до робочого зошита для закладів загальної середньої освіти з англійської мови 9 клас. Видавництво "Підручники і посібники", Тернополь. Автори робочого зошита: Косован О., Вітушинська Н. Рік видання 2020. До підручника англійська...У даній публікації ще немає коментарів. Хочете почати обговорення?
Навігація
Реклама
В якому класі ви навчаєтеся?
Найпопулярніше



















![ГДЗ Природознавство 5 клас. Підручник [Ярошенко О.Г., Бойко В.М.] 2018 ГДЗ Природознавство 5 клас. Підручник [Ярошенко О.Г., Бойко В.М.] 2018](/uploads/posts/2019-04/1555779316_5_p_y_u2018.jpg)
![ГДЗ Основи правознавства 9 клас. Підручник [Наровлянський О. Д.] 2017 ГДЗ Основи правознавства 9 клас. Підручник [Наровлянський О. Д.] 2017](/uploads/posts/2019-02/1550928122_9k_p_n_2017.jpg)
![ГДЗ Українська мова 8 клас. Підручник [Глазова О.П.] 2021 ГДЗ Українська мова 8 клас. Підручник [Глазова О.П.] 2021](/uploads/posts/2021-10/1633720388_8k_y_g_2021.jpg)
![ГДЗ Вступ до історії 5 клас. Підручник [Гісем О.В.] 2018 ГДЗ Вступ до історії 5 клас. Підручник [Гісем О.В.] 2018](/uploads/posts/2019-07/1564163269_5k_i_h_2018.jpg)