ГДЗ Алгебра 7 клас. Підручник [Істер О.С.] 2024

icon24.11.2025, icon7 Клас / Алгебра, icon80, icon0












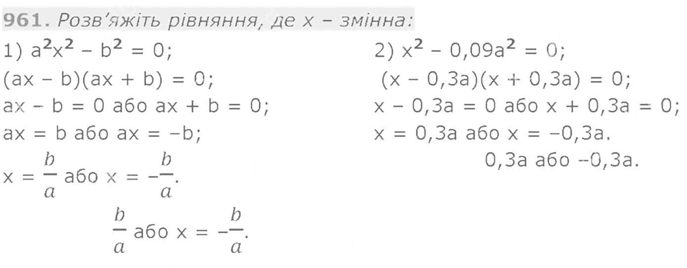
iconГДЗ Алгебра Підручник 7 клас НУШ 2024 Істер Генеза
Якщо помітили в тексті помилку, виділіть її та натисніть Ctrl + Enter
Схожі публікації

    ГДЗ Англійська мова 9 клас. Робочий зошит [Косован О., Вітушинська Н.] 2020 (Карпюк)

    У даному матеріалі Ви можете ознайомитись з готовим домашнім завданням до робочого зошита для закладів загальної середньої освіти з англійської мови 9 клас. Видавництво "Підручники і посібники", Тернополь. Автори робочого зошита: Косован О., Вітушинська Н. Рік видання 2020. До підручника англійська...

    ГДЗ ДПА 9 клас. Математика. Відповіді до збірника завдань для ДПА [Істер О.С., Єргіна О.В.] 2022

    У даному матеріалі Ви можете ознайомитись з готовим домашнім завданням до збірника завдань для підготовки та проведення ДПА з математики, 9 клас з предмету "Математика" 9 клас. Видавництво "Генеза", Київ. Автори збірника завдань: Істер О.С., Єргіна О.В. Рік видання 2022. Матеріали збірника містять...

    ГДЗ ДПА 9 клас. Математика [Істер О.С., Єргіна О.В.] 2022

    У даному матеріалі Ви можете ознайомитись з готовим домашнім завданням до збірника завдань для підсумкових контрольних робіт з математики, 9 клас з предмету "Математика" 9 клас. Видавництво "Генеза", Київ. Автори збірника завдань: Істер О.С., Єргіна О.В. Рік видання 2022. Матеріали збірника містять...

    ГДЗ ДПА 9 клас. Математика [Істер О.С., Єргіна О.В.] 2020

    У даному матеріалі Ви можете ознайомитись з готовим домашнім завданням до збірника завдань для підсумкових контрольних робіт з математики, 9 клас з предмету "Математика" 9 клас. Видавництво "Генеза", Київ. Автори збірника завдань: Істер О.С., Єргіна О.В. Рік видання 2020. Матеріали збірника містять...

    ГДЗ ДПА 9 клас. Математика [Істер О.С., Єргіна О.В.] 2019

    У даному матеріалі Ви можете ознайомитись з готовим домашнім завданням до державної підсумкової атестації з математики 9 клас. Видавництво "Підручники і посібники", Тернопіль. Автори збірника завдань: Істер О.С., Єргіна О.В. Рік видання 2019. Зміст тестових завдань відповідає оновленій навчальній...
У даній публікації ще немає коментарів. Хочете почати обговорення?

Реклама
Як Вам оновлений дизайн сайту?
Ми в соціальних мережах
Хмаринка тегів