ГДЗ Геометрія 8 клас. Підручник [Істер О.С.] 2025

icon16.12.2025, icon8 Клас / Геометрія, icon25, icon0















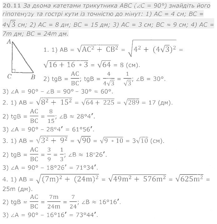
iconГДЗ Підручник Геометрія 2025 Генеза Істер НУШ 8 клас
Якщо помітили в тексті помилку, виділіть її та натисніть Ctrl + Enter
Схожі публікації

    ГДЗ Геометрія 7 клас. Самостійні та контрольні роботи [Тарасенкова Н.А., Богатирьова І.Н.] 2025

    В даному матеріалі Ви можете ознайомитись з готовим домашнім завданням до зошита для самостійних та контрольних з геометрії 7 клас. Видавництво "Оріон", Київ. Автори зошита для самостійних та контрольних робіт: Тарасенкова Н.А., Богатирьова І.Н. Рік видання 2024. Нова програма 2024 року. (Відповіді...

    ГДЗ Геометрія 7 клас. Самостійні та діагностичні роботи [Істер О.С.] 2024

    У даному матеріалі Ви можете ознайомитись з готовим домашнім завданням до зошита для самостійних та діагностичних робіт з геометрії 7 клас. Видавництво "Генеза", Київ. Автор зошита для самостійних та діагностичних робіт: Істер О.С. Рік видання 2024. Нова програма 2024 року. (Відповіді / ГДЗ /...

    ГДЗ Алгебра 7 клас. Самостійні та контрольні роботи [Тарасенкова Н.А.] 2024

    У даному матеріалі Ви можете ознайомитись з готовим домашнім завданням до зошита для самостійних та контрольних робіт з алгебри 7 клас. Видавництво "Оріон", Київ. Автор зошита для самостійних та контрольних робіт: Тарасенкова Н.А. Рік видання 2024. Нова програма 2024 року. (Відповіді / ГДЗ / Ответы...

    ГДЗ Алгебра 7 клас. Cамостійні та діагностичні роботи [Істер О.С.] 2024

    У даному матеріалі Ви можете ознайомитись з готовим домашнім завданням до зошита для самостійних та діагностичних робіт з алгебри 7 клас. Видавництво "Генеза", Київ. Автор зошита для самостійних та діагностичних робіт: Істер О. С. Рік видання 2024. Нова програма 2024 року. (Відповіді / ГДЗ / Ответы...

    ГДЗ ДПА 9 клас. Математика [Істер О.С., Єргіна О.В.] 2022

    У даному матеріалі Ви можете ознайомитись з готовим домашнім завданням до збірника завдань для підсумкових контрольних робіт з математики, 9 клас з предмету "Математика" 9 клас. Видавництво "Генеза", Київ. Автори збірника завдань: Істер О.С., Єргіна О.В. Рік видання 2022. Матеріали збірника містять...
У даній публікації ще немає коментарів. Хочете почати обговорення?

Реклама
Що Вас цікавить більше?
Ми в соціальних мережах
Хмаринка тегів