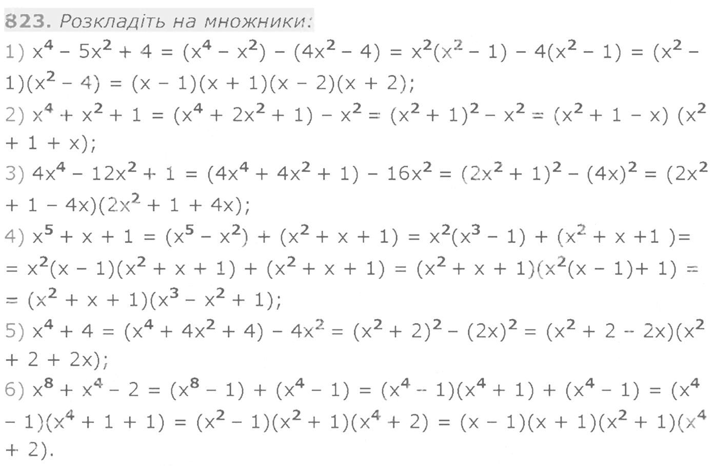
ГДЗ Алгебра 7 клас. Підручник [Мерзляк А.Г., Якір М.С.] 2024

icon25.11.2025, icon7 Клас / Алгебра, icon312, icon0















iconГДЗ Алгебра Підручник 7 клас 2024 НУШ Мерзляк Якір Гімназія
Якщо помітили в тексті помилку, виділіть її та натисніть Ctrl + Enter
Схожі публікації
У даній публікації ще немає коментарів. Хочете почати обговорення?

Реклама
Як Вам оновлений дизайн сайту?
Ми в соціальних мережах
Хмаринка тегів