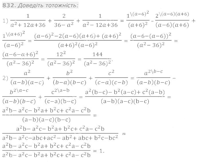
ГДЗ Алгебра 8 клас. Підручник [Мерзляк А.Г., Якір М.С.] 2025

icon28.11.2025, icon8 Клас / Алгебра, icon293, icon0















iconГДЗ Підручник 8 клас Алгебра НУШ 2025 Мерзляк Якір Гімназія
Якщо помітили в тексті помилку, виділіть її та натисніть Ctrl + Enter
Схожі публікації

    ГДЗ Алгебра 7 клас. Самостійні та контрольні роботи [Тарасенкова Н.А.] 2024

    У даному матеріалі Ви можете ознайомитись з готовим домашнім завданням до зошита для самостійних та контрольних робіт з алгебри 7 клас. Видавництво "Оріон", Київ. Автор зошита для самостійних та контрольних робіт: Тарасенкова Н.А. Рік видання 2024. Нова програма 2024 року. (Відповіді / ГДЗ / Ответы...

    ГДЗ Математика 4 клас. Робочий зошит частина 2 [Заїка А., Тарнавська С.] 2021

    У даному матеріалі Ви можете ознайомитись з готовим домашнім завданням до робочого зошита для закладів загальної початкової освіти з предмету "Математика" 4 клас частина 1. Видавництво "Посібники і підручники", Тернопіль. Автори робочого зошита: Заїка А., Тарнавська С. Рік видання 2021. Нова...

    ГДЗ Математика 4 клас. Робочий зошит [Лишенко Г.] 2021

    У даному матеріалі Ви можете ознайомитись з готовим домашнім завданням до робочого зошита для закладів загальної початкової освіти з предмету "Математика" 4 клас. Видавництво "Генеза" Київ. Автор робочого зошита: Лишенко Г. Рік видання 2021. Нова програма 2021 року. (Відповіді / ГДЗ / Ответы /...

    ГДЗ Математика 3 клас. Робочий зошит [Листопад Н.П.] 2020

    У даному матеріалі Ви можете ознайомитись з готовим домашнім завданням до робочого зошита для закладів загальної початкової освіти з предмету "Математика" 3 клас. Видавництво "Нова українська школа". Автор робочого зошита: Листопад Н.П. Рік видання 2021. Нова програма 2021 року. (Відповіді / ГДЗ /...

    ГДЗ Математика 4 клас. Робочий зошит [Листопад Н.П.] 2021

    У даному матеріалі Ви можете ознайомитись з готовим домашнім завданням до робочого зошита для закладів загальної початкової освіти з предмету "Математика" 4 клас. Видавництво "Нова українська школа". Автор робочого зошита: Листопад Н.П. Рік видання 2021. Нова програма 2021 року. (Відповіді / ГДЗ /...
У даній публікації ще немає коментарів. Хочете почати обговорення?

Реклама
Як Вам оновлений дизайн сайту?
Ми в соціальних мережах
Хмаринка тегів