ГДЗ Хімія 7 клас. Підручник [Попель П., Крикля Л.] 2024
§18 Відносна молекулярна маса
Розв'язуємо задачу1. Обчисліть (усно) відносні молекулярні маси азоту N2 та амоніаку NH3.
Mr(N2)=2•Ar(N)=2•14=28
Mr(NH3)=Ar(N)+3•Ar(H)=14+3•1=17
2. Обчисліть (усно) відношення мас молекул CH4 і SO3.
Mr(CH4)=Ar(C)+4•Ar(H)=12+4•1=16
Mr(SO3)=Ar(S)+3•Ar(O)=32+3•16=512
Розв'язуємо задачу
Обчисліть відносну молекулярну масу сечовини CO(NH2)2.
Mr(CO(NH2)2)=Ar(C)+Ar(O)+2•Ar(N)+4•Ar(H)=12+16+2•14+4•1=12+16+28+4=60
ВАШІ ДОСЯГНЕННЯ І ВІДКРИТТЯ
Вправа 131
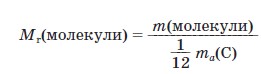
Що таке відносна молекулярна маса?
Це відношення маси молекули до 1/12 маси атома Карбону.
Як її розрахувати:
а) за масою молекули;
б) за хімічною формулою молекули? Відносна молекулярна маса молекули дорівнює сумі відносних мас атомів, які містяться в молекулі.
Вправа 132
Доведіть хибність такого твердження: «Відносна молекулярна маса складної речовини дорівнює сумі відносних атомних мас хімічних елементів, якими утворена речовина».
У визначенні не взято до уваги різна кількість атомів кожного хімічного елемента, тому істинне твердження: «Відносна молекулярна маса складної речовини дорівнює сумі відносних атомних мас хімічних елементів, з урахуванням їх кількості, якими утворена речовина».
Вправа 133
Назвіть речовину, яка має найменшу відносну молекулярну масу.
Водень Н2, бо молекули цієї речовини складаються з двох найлегших атомів Гідрогену.
Mr(H2)=2•Ar(H)=2•1=2
Вправа134
Атом якого хімічного елемента вчетверо легший за молекулу вуглекислого газу?
Відносна молекулярна маса Mr(CO2)=Ar(C)+2•Ar(O)=12+2•16=44;
вчетверо легша 44 : 4 = 11, а відносна атомна маса Ar(B)=11, тому цим хімічним елементом є Бор.
Відповідь: Бор.
Вправа 135
Визначте, у скільки разів маса атома Оксигену більша чи менша за масу:
а) атома Сульфуру S
Ar(S):Ar(О)=32 : 2=16. Отже, маса атома Сульфуру в 16 разів більша за масу атома Оксигену.
б) молекули водню H2
Ar(O)=16, Mr(H2)=2•Ar(H)=2
Ar(O):Mr(H2)=16:2=8. Отже, маса атома Оксигену у 8 разів більша за масу молекули водню.
в) двох молекул силану SiH4
Ar(O)=16, Mr(SiH4)=Ar(Si)+4•Ar(H)=28+4•1=32, а двох молекул 32•2=64,
2Mr(SiH4):Ar(O)=64:32=4. Отже, маса атома Оксигену в 4 рази менша за масу двох молекул силану.
Вправа 136
Сполука Нітрогену з Оксигеном має таку саму відносну молекулярну масу, що й вуглекислий газ. Яка формула цієї сполуки?
Відомо: сполука Нітрогену з Оксигеном, Mr(сполуки)=Mr(CO2)
Знайти: формулу–?
Розв'язання
Мr(СО2)=Ar(С)+2•Ar(О)=12+2•16=44, Ar(O)=16
Припустимо, що формула містить два атоми Оксигену, тоді відносна атомна маса Нітрогену має бути рівною: 44–2•16=12, що не відповідає дійсності, тому наше припущення неправильне. Отже, сполука містить один атом Оксигену і має загальну формулу NxO.
Мr(NxO)=х•Ar(N)+Ar(O)=14х+16
Складаємо алгебраїчне рівняння і розв'язуємо його:
14x + 16 = 44
14x = 44 – 16
14x = 28
x = 28 : 14
x = 2
Відповідь: формула сполуки N2О.
Вправа 137
Відносна молекулярна маса сполуки Хлору з Оксигеном становить 183. Відомо, що в молекулі речовини міститься 7 атомів Оксигену. Знайдіть її формулу.
Відомо: сполука ClxO7, Mr(ClxO7)=183
Знайти: формулу–?
Розв'язання
Мr(СlxО7)=35,5•х+16•7=35,5х + 112
Складаємо алгебраїчне рівняння і розв'язуємо його:
35,5x + 112 = 183
35,5x = 183 – 112
35,5x = 71
x =71 : 35,5
x = 2
Відповідь: формула сполуки Сl2О7.
Вправа 138
Випишіть з тексту параграфа кілька ключових слів і словосполучень.
Відносна маса — relative mass, відносна атомна маса — relative atomic mass, відносна молекулярна маса — relative molecular mass.





![ГДЗ Природознавство 5 клас. Підручник [Ярошенко О.Г., Бойко В.М.] 2018 ГДЗ Природознавство 5 клас. Підручник [Ярошенко О.Г., Бойко В.М.] 2018](/uploads/posts/2019-04/1555779316_5_p_y_u2018.jpg)
![ГДЗ Основи правознавства 9 клас. Підручник [Наровлянський О. Д.] 2017 ГДЗ Основи правознавства 9 клас. Підручник [Наровлянський О. Д.] 2017](/uploads/posts/2019-02/1550928122_9k_p_n_2017.jpg)
![ГДЗ Українська мова 8 клас. Підручник [Глазова О.П.] 2021 ГДЗ Українська мова 8 клас. Підручник [Глазова О.П.] 2021](/uploads/posts/2021-10/1633720388_8k_y_g_2021.jpg)
![ГДЗ Вступ до історії 5 клас. Підручник [Гісем О.В.] 2018 ГДЗ Вступ до історії 5 клас. Підручник [Гісем О.В.] 2018](/uploads/posts/2019-07/1564163269_5k_i_h_2018.jpg)